버전
1.1.0
패키지명
air.br.com.bitlabs.MathFormulaReference
카테고리
교육 학습
크기
14.71MB
수학 공식 참조에는 방대한 수학 공식 모음이 있습니다.
수학 공식 참조
수학적 방정식.
이 응용 프로그램은 빠른 참조 (치트 시트)로 도움이되므로 원하는 곳과 원하는 곳마다 수학 공식에 액세스 할 수 있습니다.
이 수학 공식 앱은 가장 포괄적 인 종류 중 하나입니다.
수학 공식 참조는 다음 주제를 다룹니다.
1. 번호 세트
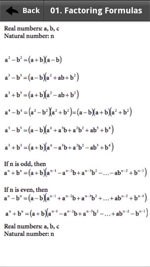
2. 대수
3. 기하학 (평면 및 공간)
4. 삼각법
5. 매트릭스 및 결정 요인
6. 벡터
이 앱은 SD 카드로 이동할 수 있습니다.
콘텐츠 및이 앱과 관련된 버그를 자유롭게보고하십시오.
[사용 지침]
1) 수학 공식 참조 열기.
2) 탐색하려는 수학 주제를 선택하십시오.
3) 보려는 하위 주제를 선택하십시오.
4) 선택한 하위 주제와 관련된 공식을보십시오.